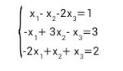
Решите систему уравнений по формулам Крамера:
Приложения:

sangers1959:
Если очень нужно, я решу.
Ответы
Ответ дал:
1
Пошаговое объяснение:
Запишем систему в виде:
Вектор результата В:
Найдём главный определитель:
Заменим 1-й столбец матрицы А на вектор результата В и найдем определитель полученной матрицы:
Заменим 2-й столбец матрицы А на вектор результата В и найдем определитель полученной матрицы:
Заменим 3-й столбец матрицы А на вектор результата В и найдем определитель полученной матрицы:
Вас заинтересует
2 года назад
2 года назад
2 года назад
2 года назад
7 лет назад
9 лет назад