Пожалуйста, помогите с математическим анализом
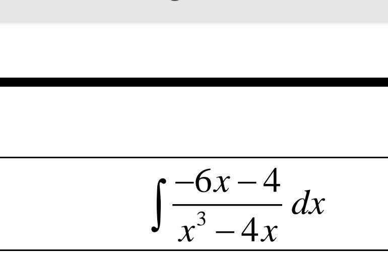
Найти интеграл от рациональной дроби, предварительно представив в виде суммы правильных простейших рациональных дробей.
Приложения:

Ответы
Ответ дал:
0
Ответ:
Пошаговое объяснение:
Решение во вложении! Удачи!
Приложения:

Вас заинтересует
2 года назад
2 года назад
2 года назад
2 года назад
7 лет назад
7 лет назад
9 лет назад