• Предмет: Физика
  • Автор: OlgaMinoxina
  • Вопрос задан 3 года назад

Германиевый диод, имеющий обратный ток насыщения Io = 25 мкА, работает при прямом напряжении U, равном 0,1 В, и Т=300 K. Определить сопротивление диода постоянному току Ro.

Ответы

Ответ дал: malakasha
2

Ответ:

74, 62 Ом

Объяснение:

Любимая электроника.

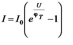
Формулу прикрепила.

φt - температурный потенциал p-n перехода. Для 300К он равен 0,025.

I=25*10^{-6}*(e^\frac{0.1}{0.025} -1)=0.00133995=1.33995*10^{-3} А

R_{0} =I/U=0.1/1.34*10^{-3}=74.62 ОМ

Приложения:

malakasha: я вообще не беру заряд электрона во внимание.
NicBro1337: А у меня почему то так не выходит!
NicBro1337: А выходит 0,00075!
malakasha: в вашей задаче?
NicBro1337: да,при нахождении тока!
NicBro1337: Они похожи,но я про ту которая в данном примере
NicBro1337: В чем то я ошибся,а понять не могу
NicBro1337: В чем то я ошибся,а вот понять не могу
NicBro1337: nicbro1337@gmail.com можно сюда )
NicBro1337: Либо формула не верно примена
Вас заинтересует