• Предмет: Алгебра
  • Автор: misterbi18022005
  • Вопрос задан 3 года назад

Помогите пожалуйста!!! 40 Баллов!!!

Приложения:

Ответы

Ответ дал: Universalka
2

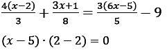
1)\frac{4(x-2)}{3}*120+\frac{3x+1}{8}*120=\frac{3(6x-5)}{5}*120-9*120\\\\160(x-2)+15(3x+1)=72(6x-5)-1080\\\\160x-320+45x+15=432x-360-1080\\\\160x+45x-432x=320-15-360-1080\\\\-227x=-1135\\\\x=5\\\\Otvet:\boxed{5}

2) (x - 5) * ( 2 - 2) = 0

(x - 5) * 0 = 0

x ∈ R , так как при любом действительном значении x левая часть равна нулю .

Ответ : x ∈ R

Вас заинтересует