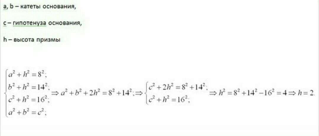
Основание призмы – прямоугольный треугольник, диагонали боковых граней призмы – 8 см, 14 см, 16 см. Найдите высоту призмы.
Ответы
Ответ дал:
6
решение: надеюсь понятно
Приложения:

demyankosenko:
да, а другая задача?
Вас заинтересует
2 года назад
2 года назад
7 лет назад
9 лет назад