• Предмет: Алгебра
  • Автор: borisenko04
  • Вопрос задан 3 года назад

Пожалуйста найдите производную функции

Приложения:

Ответы

Ответ дал: dimauchenik654454
1

Ответ и решение на фотографии.

Приложения:
Ответ дал: afet74
0

Ответ:

Объяснение:

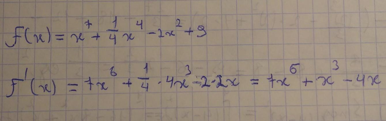
f(x)=x^7+\frac{1}{4} x^4-2x^2+9\\\\\       f'(x)=(x^7+\frac{1}{4} x^4-2x^2+9)'=(x^7)'+\frac{1}{4} (x^4)'-2(x^2)'+9'=\\\\=7x^6+\frac{1}{4} *4x^3-2*2x+0=7x^6+x^3-4x

Вас заинтересует