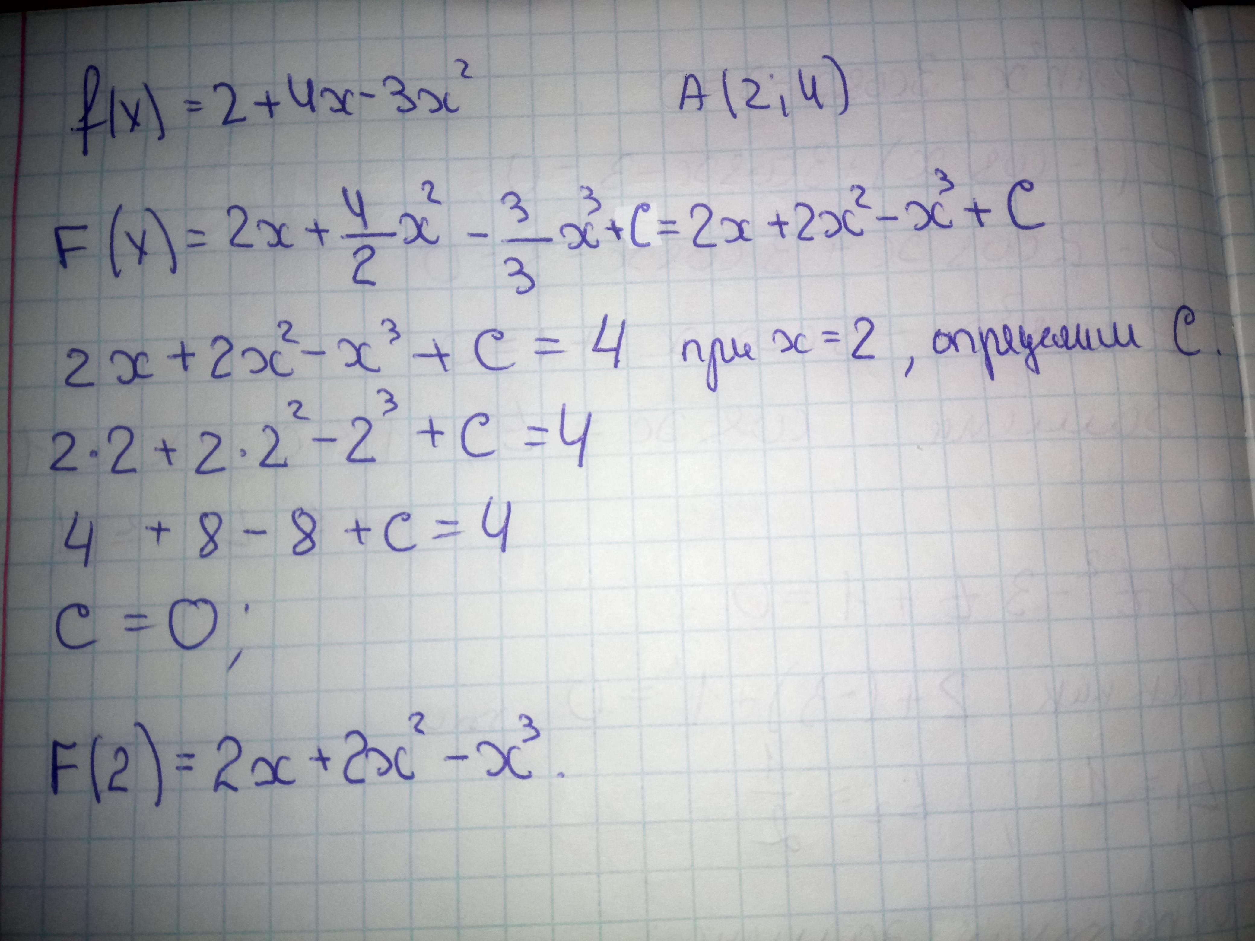
Для функции f(x) = 2 + 4x – 3x2 найдите первообразную, график которой, проходит через точку А (2; 4).
Очень нужно
Пожалуйста помогите
Ответы
Ответ дал:
2
Решение задания прилагаю
Приложения:

Ответ дал:
1
Ответ:
F(x)=2x+2x²-x³
Пошаговое объяснение:
f(x) = 2 + 4x – 3x²
первообразная функция в общем виде:
F(x)=2x+2x²-x³+С
график первообразной функции проходит через точку А (2; 4).
тогда
F(2)=2×2+2×2²-2³+C=4
4+8-8+C=4
4+C=4
C=0
F(x)=2x+2x²-x³
Вас заинтересует
2 года назад
2 года назад
2 года назад
2 года назад
7 лет назад
7 лет назад