• Предмет: Математика
  • Автор: fffaizyyy
  • Вопрос задан 3 года назад

Помогите решить, завтра экзамен :\

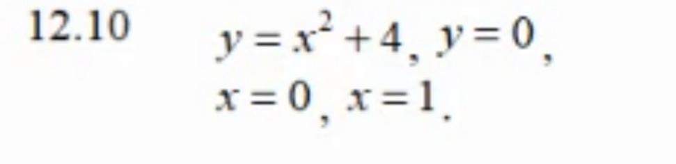
Вычислите площадь фигуры, ограниченной линиями:

Приложения:

Ответы

Ответ дал: binamaksimchuk
1

Ответ:

4\frac{1}{3} кв.ед.

Пошаговое объяснение:

\int\limits^1_0 ({x^{2}+4 } )\, dx =\int\limits^1_0 ( {\frac{x^{3} }{3}+4x } )\, dx=\frac{x^{3} }{3}  +4xI_{0}^{1}  =\frac{1^{3} }{3} +4*1-\frac{0^{3} }{3} +4*0=4\frac{1}{3}

Вас заинтересует