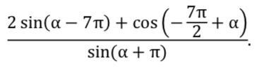
Найдите значение выражения: (2sin(α−7π)+cos(-7π/2+a))/sin(a+π)
Приложения:

fbfbrr:
это какой класс
Ответы
Ответ дал:
2
Ответ: абсолютно правильный)
Приложения:

Вас заинтересует
2 года назад
2 года назад
7 лет назад
7 лет назад
9 лет назад