• Предмет: Алгебра
  • Автор: TowerUs
  • Вопрос задан 3 года назад

вычислить без фотомача

Приложения:

Ответы

Ответ дал: Evgenia4836
1

Ответ:

Объяснение:

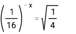
(4^{-2})^{-x}=(4^{-1})^{0,5}\\4^{2x}=4^{-0,5}\\2x=-0,5\\x= -0,25

Ответ дал: Аноним
1

(1/16)⁻ˣ=16ˣ=(4²)ˣ=4²ˣ

√(1/4)=1/4^(1/2)=4^(-1/2)

4^(2x)=4^(-1/2)

cтепени равны, основания то же, значит и показатели равны

2х=-1/2

х=-1/4.

------------------------------------

(1/16)^(1/4)=⁴√(1/16)=1/2; √1/4=1/2  -  проверка.

Вас заинтересует