• Предмет: Математика
  • Автор: FelixxxPRO
  • Вопрос задан 3 года назад

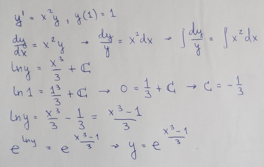
Решить задачу Коши для дифференциального уравнения:

y'=x^2y; y(1)=1

Ответы

Ответ дал: MathDaddy
1

y =  {e}^{ \frac{ {x}^{3} - 1 }{3} }

решение на фото

Приложения:
Вас заинтересует