• Предмет: Математика
  • Автор: Dembiac19
  • Вопрос задан 3 года назад

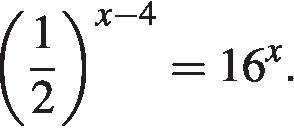
Найдите решение уравнения:

Приложения:

Ответы

Ответ дал: lilyatomach
1

Ответ:

0,8

( \frac{1}{2} ) {}^{x - 4}  =  {16}^{x} \\  {2}^{4 - x}   =  {2}^{4x}  \\ 4 - x = 4x \\ 4 = 4x + x \\ 5x = 4 \\ x = 4 \div 5 \\ x = 0.8

Вас заинтересует