• Предмет: Алгебра
  • Автор: Apollon11
  • Вопрос задан 3 года назад

Решите уравнение, фотографию прикрепил

Приложения:

Ответы

Ответ дал: sonata85ua
2

Ответ:

Объяснение:

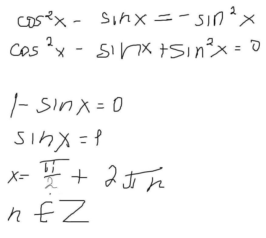
cos^{2} x-sin x = -sin^{2} x\\cos^{2} x-sin x +sin^{2} x=0\\\\1-sinx=0\\sin x=1\\ x= \frac{\pi }{2} +2\pi n

n ∈Z

Ответ дал: Mr0tvet55555
1

Ответ:

=====

Объяснение:

Как-то так)

Приложения:

Aspirant2022: так так так...
sonata85ua: так полностью списано, даже множество значений ..
sonata85ua: и есть ошибка пи/2, а не пи/n
sonata85ua: быстро исправляешь..
sonata85ua: но лучше научись решать сам..
Вас заинтересует