• Предмет: Математика
  • Автор: berorij475
  • Вопрос задан 3 года назад

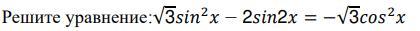
Нужна срочная помощь !!

Приложения:

Ответы

Ответ дал: Miroslava227
1

Ответ:

решение на фотографии

Приложения:
Вас заинтересует