• Предмет: Математика
  • Автор: Myatnayaaaa
  • Вопрос задан 3 года назад

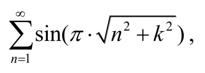
Исследовать на сходимость числовой ряд:

Приложения:

Ответы

Ответ дал: igorShap
0

Ответ:

Пошаговое объяснение:

В приложении

Приложения:
Вас заинтересует