• Предмет: Математика
  • Автор: Geniiiii
  • Вопрос задан 3 года назад

Решите задание по математике 10-11 класс пожалуйста.

Приложения:

Ответы

Ответ дал: Miroslava227
1

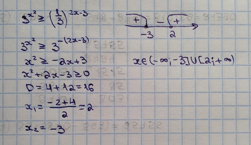
Ответ:

решение на фотографии

Приложения:
Вас заинтересует