• Предмет: Алгебра
  • Автор: borisenko04
  • Вопрос задан 3 года назад

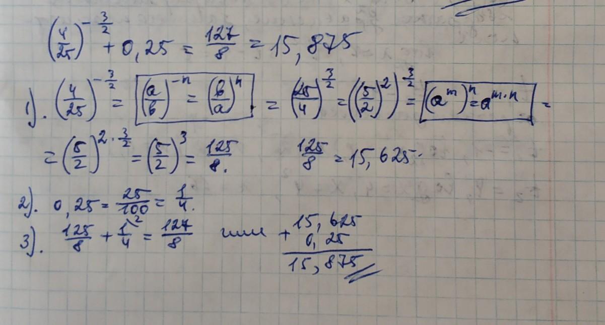
пожалуйста решите пример (4/25)^( -3/2) +0,25

Ответы

Ответ дал: kirichekov
0

Ответ:

= 15,875

Объяснение:

решение во вложении

Приложения:
Вас заинтересует