• Предмет: Математика
  • Автор: dranik2002
  • Вопрос задан 3 года назад

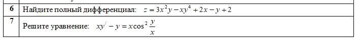
50 БАЛЛОВ! решите эти два примера, пожалуйста.

Приложения:

Ответы

Ответ дал: Miroslava227
0

Ответ:

решение на фотографии

Приложения:
Вас заинтересует