• Предмет: Математика
  • Автор: grozneckaya89
  • Вопрос задан 3 года назад

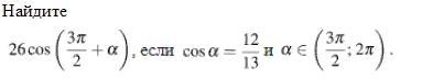
Найдите решение уравнения

Приложения:

Ответы

Ответ дал: table123
0

Ответ: -10

Пошаговое объяснение: 26cos(3p/2 +a)=

=26sina,  sin^2 a=1-cos^2 a=1-144/169=25/169,  (угол в 4-й четв.,

значит, знак  - ),  sina= -5/13,   26*sina=26*(-5/13)=-10

Вас заинтересует