Ответы
Ответ дал:
1
Ответ:
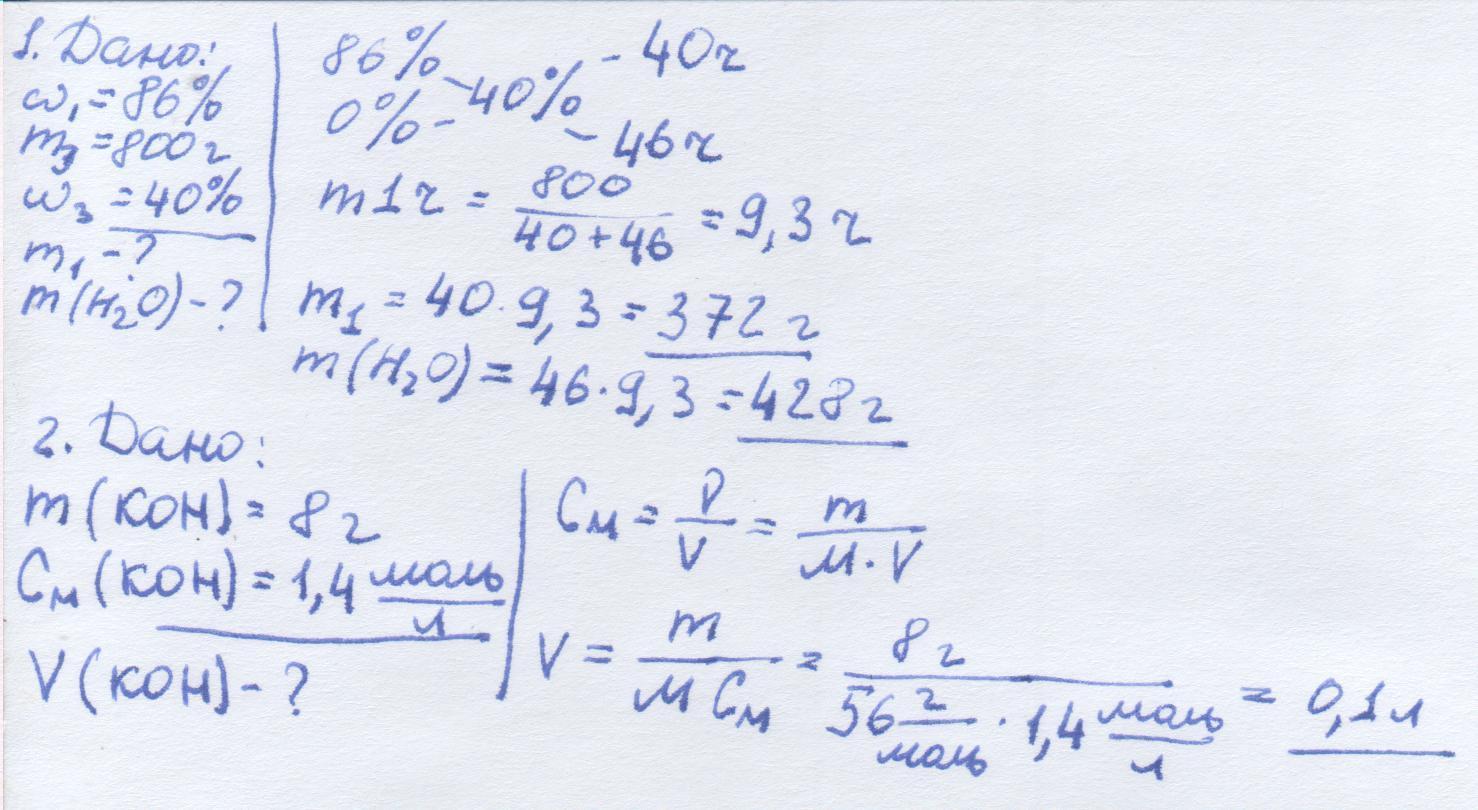
1. m1=372г
m(H2O)=428г
2. V=0,1л
Объяснение:
Приложения:

Вас заинтересует
2 года назад
2 года назад
7 лет назад
7 лет назад
9 лет назад