• Предмет: Математика
  • Автор: Серго74Rus
  • Вопрос задан 3 года назад

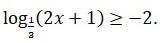
Решите логарифмическое неравенство

Приложения:

Ответы

Ответ дал: NNNLLL54
1

Ответ:

log_{\frac{1}{3}}(2x+1)\geq -2\ \ ,\ \ \ \ ODZ:\ 2x+1>0\ ,\ \ x>-\dfrac{1}{2}\\\\0<\dfrac{1}{3}<1\ \ \Rightarrow \ \  (2x+1)\leq \Big(\dfrac{1}{3}\Big)^{-2}\ \ ,\\\\(2x+1)\leq 9\ \ ,\ \ \ 2x\leq 8\ \ ,\ \ \ x\leq 4\\\\Otvet:\ \ x\in \Big(-\dfrac{1}{2}\ ;\ 4\ \Big]\ .

Вас заинтересует