• Предмет: Алгебра
  • Автор: dqsagafgsa
  • Вопрос задан 3 года назад

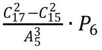
Помогите решить пример по алгебре

Приложения:

Ответы

Ответ дал: Evgenia4836
0

Ответ:

Объяснение:

///////////

Приложения:
Вас заинтересует