• Предмет: Математика
  • Автор: rmg2003v
  • Вопрос задан 3 года назад

Помогите решить пожалуйста №7,9,10

Приложения:

Ответы

Ответ дал: Medved23
0

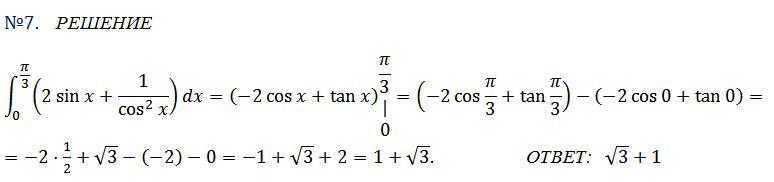
Ответ: ===========

Пошаговое объяснение: приложено

Приложения:
Вас заинтересует