• Предмет: Математика
  • Автор: ivanofc
  • Вопрос задан 3 года назад

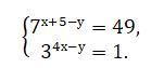
Решите систему уравнений:

Приложения:

Ответы

Ответ дал: Siltik2004
0

Ответ:

(1;4)

Пошаговое объяснение:

На картинке все преобразования

Приложения:
Вас заинтересует