• Предмет: Алгебра
  • Автор: ivanovzheka2017
  • Вопрос задан 3 года назад

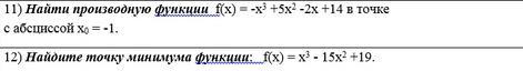
Помогите пожалуйста решить с подробным решением, буду очень благодарен!

Приложения:

Ответы

Ответ дал: tiserakt
0

Объяснение:

япросто набираю симвл

Приложения:
Вас заинтересует