• Предмет: Математика
  • Автор: OL3S4KA
  • Вопрос задан 3 года назад

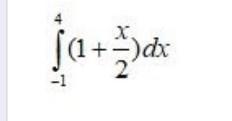
запишите значение первообразной в верхнем пределе интегрирования

Приложения:

Ответы

Ответ дал: pushpull
1

Ответ:

Пошаговое объяснение:

f(x) = (1+x/2);  x₀=4

F(x) = ∫ (1+x/2)dx = x²/4 +x +C

F(4) = 4²/4 + 4 = 8

Вас заинтересует