• Предмет: Математика
  • Автор: d2wfwe
  • Вопрос задан 3 года назад

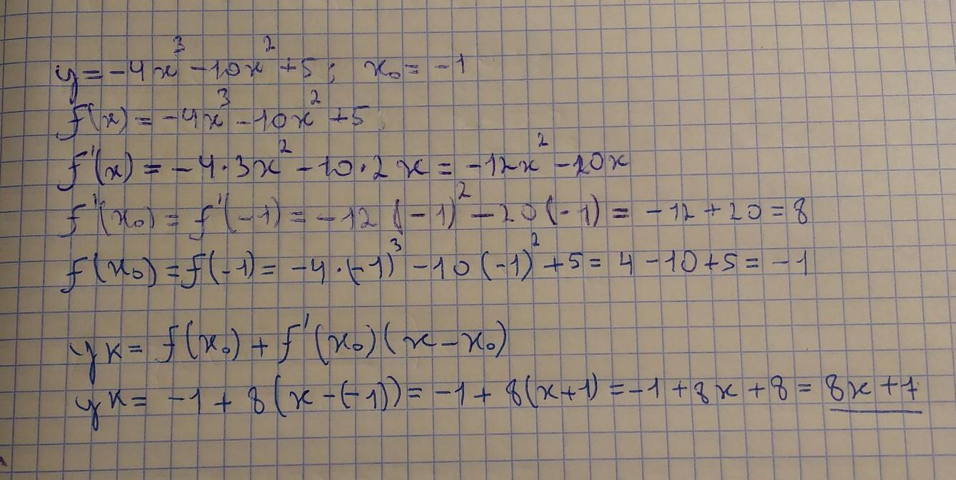
Напишите уравнение касательной к графику функции y-4x^3-10x^2+5
в точке x^0= -1

Ответы

Ответ дал: dimauchenik654454
0

Ответ:

yк=8x+7

Пошаговое объяснение:

Решение на фотографии.

Приложения:
Вас заинтересует