• Предмет: Математика
  • Автор: missdep777
  • Вопрос задан 3 года назад

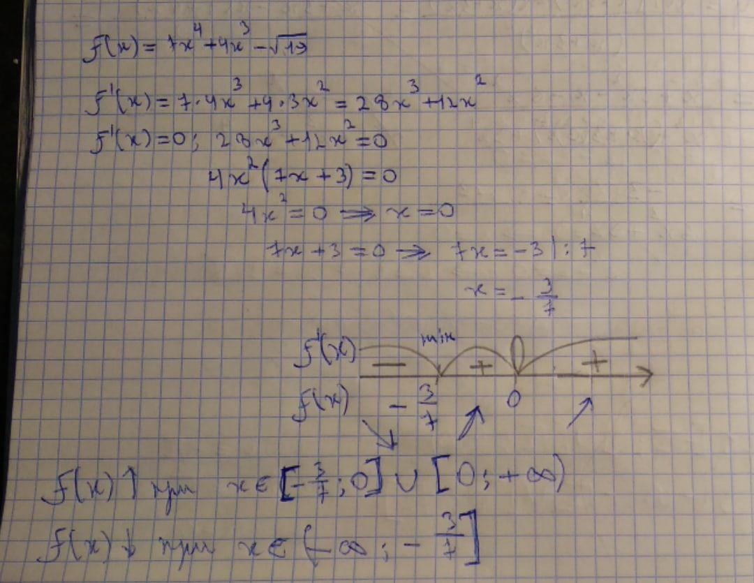
Задание. Найдите промежутки возрастания функции. Помогите пожалуйста

Приложения:

Ответы

Ответ дал: dimauchenik654454
0

Ответ:

Ответ на фотографии.

Пошаговое объяснение:

Там же.

Приложения:
Вас заинтересует