• Предмет: Математика
  • Автор: Аноним
  • Вопрос задан 3 года назад

Решите пожалуйста на листочке кто может. Буду признателен! Очень нужно.

Приложения:

Ответы

Ответ дал: Alexandr130398
0

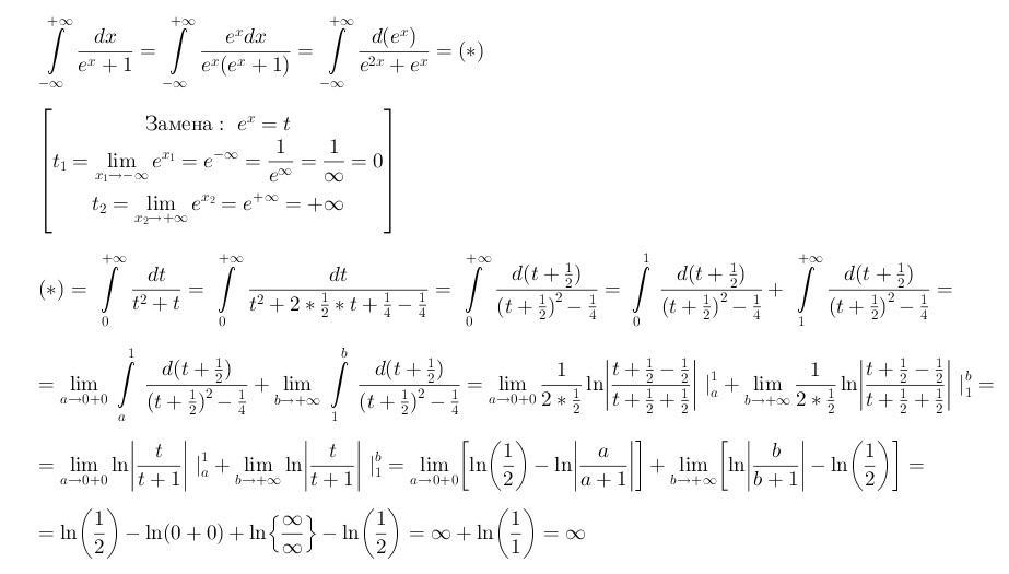
Ответ:

интеграл расходится

Пошаговое объяснение:

Приложения:
Вас заинтересует