• Предмет: Математика
  • Автор: inoteypek
  • Вопрос задан 3 года назад

Помогите, пожалуйста!!! Даю 10 баллов!

Приложения:

Ответы

Ответ дал: Аноним
2

Ответ:

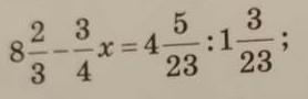
8\frac{2}{3} -\frac{3}{4} x=4\frac{5}{23} :1\frac{3}{23} \\\\\frac{26}{3} -\frac{3}{4} x=\frac{97}{23} :\frac{26}{23} \\\\\frac{26}{3} -\frac{3}{4} x=\frac{97}{26} \\\\-\frac{3}{4} x=\frac{97}{26}-\frac{26}{3}\\\\-\frac{3}{4} x=\frac{291}{78} -\frac{676}{78} \\\\-\frac{3}{4} x=-\frac{385}{78} \\\\x=6\frac{68}{117}

Вас заинтересует