• Предмет: Математика
  • Автор: krasulina02
  • Вопрос задан 3 года назад

С решением. Найти производные функций. Очень надо (((

Приложения:

Ответы

Ответ дал: natalyabryukhova
1

Ответ:

Пошаговое объяснение:

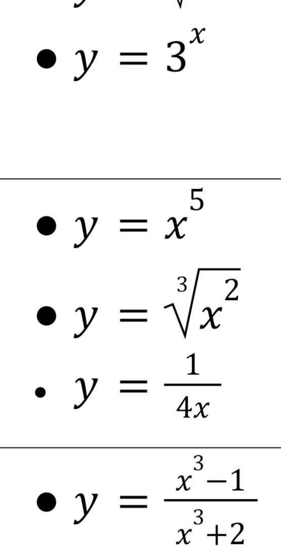
y=3^x\\y'=3^x*ln3\\\\y=x^5\\y'=5x^4\\\\y=\sqrt[3]{x^2}=x^{\frac{2}{3}}\\y'=\frac{2}{3}x^{-\frac{1}{3}}=\frac{2}{3\sqrt[3]{x}}\\   \\y=\frac{1}{4x}\\y'=-\frac{1}{4x^2}\\ \\y=\frac{x^3-1}{x^3+2}\\y'=\frac{3x^2(x^3+2)+3x^2(x^3-1)}{(x^3+2)^2} =\frac{3x^2(x^3+2+x^3-1)}{(x^3+2)^2} =\frac{3x^2(2x^3+1)}{(x^3+2)^2}


Аноним: Здравствуйте не поможите с вопросом он уже задан благодарю за помощь
Вас заинтересует