• Предмет: Математика
  • Автор: zvh11616
  • Вопрос задан 3 года назад

Помогите решить уравнение мирового масштаба.

Приложения:

Ответы

Ответ дал: pushpull
1

Ответ:

Пошаговое объяснение:

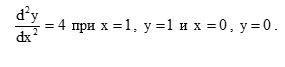
y'' = 4;

x=1, y=1;

x=0, y = 0

y' = ∫4dx=4x +C

y(x) = ∫(4x +C)dx = 2x²+C₁x+C₂

a)  x=1, y=1;

y(1) = 2+C₁+C₂ = 1

C₂ = -C₁ -1

y(x) = 2x² -C₁ +C₁x -1

b) x=0, y=0

аналогично пункту а)

y(x) = 2x² +C₁x

Вас заинтересует