• Предмет: Математика
  • Автор: KetyneckaFonV
  • Вопрос задан 3 года назад

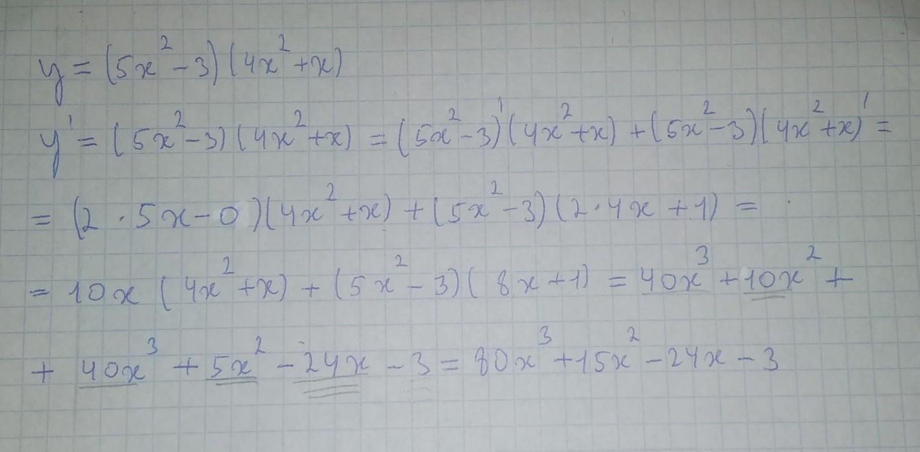
Найти производную. у=(5 x∧2−3 ) (4 x∧2+х )

Ответы

Ответ дал: dimauchenik654454
1

Ответ:

На фотографии.

Пошаговое объяснение:

Решение там же.

Приложения:
Вас заинтересует