не могу решить уже неделю. заливаю по одному, потому что даже за 18 баллов никто не решает. умоляю, спасите мою жизнь..
Приложения:

au456:
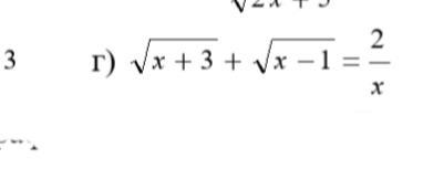
Слева сумма возрастающих функций на всей области определения. X>=1 Справа убывающая непрерывная функция на этом диапазоне. x = 1 - очевидное единственное решение. Предмета для решения то нет . ))
Ответы
Ответ дал:
0
Ответ:
1
Объяснение:
Область определения квадратных корней:
x >= 1
Возводим в квадрат
Делим все на 2
Умножаем на x^2
Слева квадрат умножается на арифметический корень, то есть число неотрицательное при любом x >= 1.
Справа первая скобка неотрицательна при x >= 1, вторая скобка положительна при любом х. И стоит минус.
В итоге число получается неположительное.
Единственное значение, при котором левая и правая части обе одновременно равны 0 - это x = 1.
Вас заинтересует
2 года назад
2 года назад
2 года назад
2 года назад
7 лет назад
7 лет назад
9 лет назад