• Предмет: Математика
  • Автор: ralifsub02p6m5uu
  • Вопрос задан 3 года назад

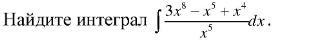
решите срочно!найти интеграл

Приложения:

Ответы

Ответ дал: tiserakt
0

Пошаговое объяснение:

я просто нвбирвю бездумные символы

Приложения:
Вас заинтересует