• Предмет: Математика
  • Автор: shalfey3
  • Вопрос задан 3 года назад

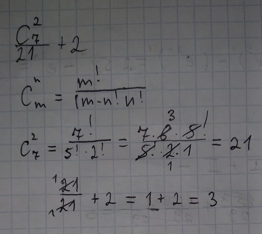
Помогите решить задачу на картинке. 10-11 класс.

Приложения:

Ответы

Ответ дал: VitalikMaksymchuk
0

Ответ: 3

.............

Приложения:
Ответ дал: cooolery
0

Ответ:

3

Пошаговое объяснение:

\frac{C^2_7}{21}+2 =\frac{\frac{7!}{5!*2!}}{21}+2=\frac{\frac{7*6*5}{5*2*1}}{21}+2=\frac{21}{21}+2 =1+2=3

Вас заинтересует