• Предмет: Математика
  • Автор: yuliyavasileva1998
  • Вопрос задан 3 года назад

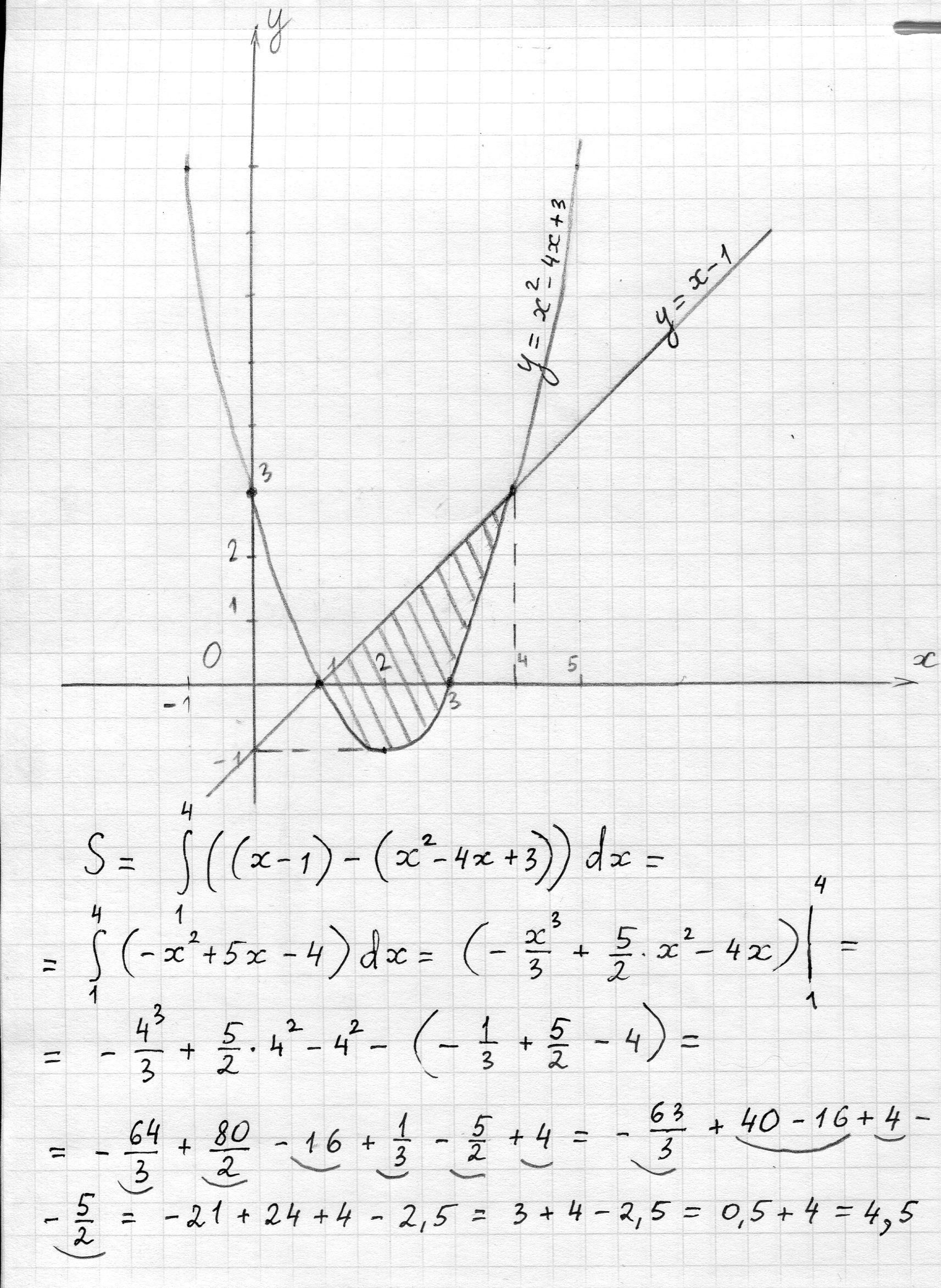
Вычислить площадь фигуры, ограниченной линиями: y=x²- 4x +3 и y =x-1. Производная функции ( нужна фотография графика )

Ответы

Ответ дал: Аноним
1

я написал решение на листочке ===>>

Приложения:
Вас заинтересует