• Предмет: Математика
  • Автор: jung2134
  • Вопрос задан 3 года назад

срочно помогите!!!!!!!!!!!​

Приложения:

Ответы

Ответ дал: Evgenia4836
1

Ответ:

Пошаговое объяснение:

(\frac{12x-6x+9+x^2}{3(9-x^2)})*\frac{18}{x+3}-\frac{2x}{3-x}-2 = \frac{6}{3-x}-\frac{2x}{3-x}-2= \frac{2(3-x)}{(3-x)}-2= 2-2=0

Ответ дал: mugalim13
1

Ответ:

0.

Пошаговое объяснение:

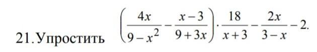
(\frac{4x}{9-x^{2} } - \frac{x-3}{9+3x} ) * \frac{18}{x+3} - \frac{2x}{3-x}   - 2 =

= (\frac{4x}{(3-x)(3+x) } - \frac{x-3}{3(3+x)} ) * \frac{18}{3+x} - \frac{2x}{3-x}   - 2 =

= (\frac{4x*3}{3*(3-x)(3+x) } + \frac{(3-x)*(3-x)}{3(3+x)*(3-x)} ) * \frac{18}{3+x} - \frac{2x}{3-x}   - 2 =

= \frac{12x + (3-x)*(3-x)}{3(3+x)*(3-x)}  * \frac{18}{3+x} - \frac{2x}{3-x}   - 2 =

= \frac{12x + (9-6x+x^{2} )}{3(3+x)*(3-x)}  * \frac{18}{3+x} - \frac{2x}{3-x}   - 2 =

= \frac{9 + 6x+x^{2}}{3(3+x)*(3-x)}  * \frac{18}{3+x} - \frac{2x}{3-x}   - 2 =

= \frac{(3+x)^{2}}{3(3+x)*(3-x)}  * \frac{18}{3+x} - \frac{2x}{3-x}   - 2 =

= \frac{3+x}{3*(3-x)}  * \frac{18}{3+x} - \frac{2x}{3-x}   - 2 =

= \frac{1}{3*(3-x)}  * \frac{18}{1} - \frac{2x}{3-x}   - 2 =

= \frac{18}{3*(3-x)}  - \frac{2x}{3-x}   - 2 =

= \frac{6}{3-x}  - \frac{2x}{3-x}   - 2 =

= \frac{6-2x}{3-x} - 2 =

= \frac{2(3-x)}{3-x} - 2 =

= \frac{2*1}{1} - 2 =

= 2 - 2 =

= 0.

(При записи не обязательно писать с новой строки, можно продолжать в той же строке, без переноса на новую строку, но так, вроде бы, нагляднее.)

Вас заинтересует