• Предмет: Математика
  • Автор: sdggr2065
  • Вопрос задан 3 года назад

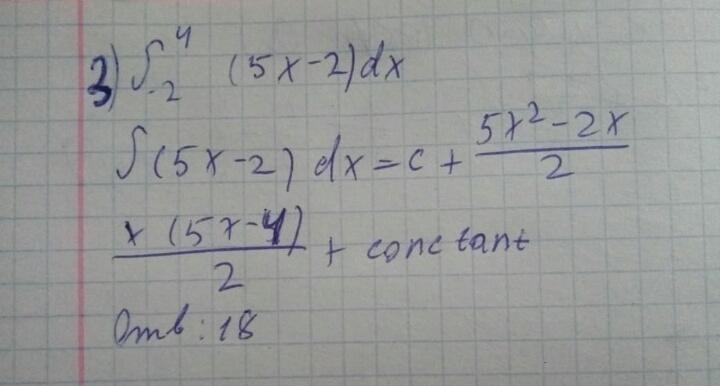
Выполнить подробную подстановку.«Определенный интеграл и его применение»

Приложения:

Ответы

Ответ дал: mugalim13
0

Ответ:

\int\limits^4_2 {(5x-2)} \, dx  = 26

Пошаговое объяснение:

Преобразовываем и записываем первообразные:\int\limits^4_2 {(5x-2)} \, dx  = \int\limits^4_2 {(5x)} \, dx  - \int\limits^4_2 {2} \, dx  = 5 * \int\limits^4_2 {x} \, dx  - 2 * \int\limits^4_2 {} \, dx  = (5 * \frac{x^{2}}{2} - 2 * x ) |4 2

Вычислим, подставив пределы интегрирования, сначала верхний 4, потом - нижний предел 2 и по формуле Ньютона-Лейбница

                                          F(b) - F(a)

имеем:

(5 * 4 ^ 2 / 2  - 2 * 4 ) - (5 * 2 ^ 2 / 2 - 2 * 2) = (5 * 16 / 2 - 8) - (5 * 4 / 2 - 4) =

= (5 * 8 - 8) - (5 * 2 - 4) = (40 - 8) - (10 - 4) = 32 - 6 = 26.

\int\limits^4_2 {(5x-2)} \, dx  = 26

Вас заинтересует