• Предмет: Математика
  • Автор: tsinzy
  • Вопрос задан 3 года назад

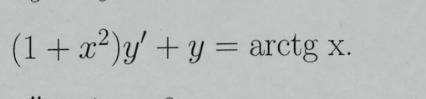
Решить линейное дифференциальное уравнение первого порядка.

Приложения:

Ответы

Ответ дал: Miroslava227
0

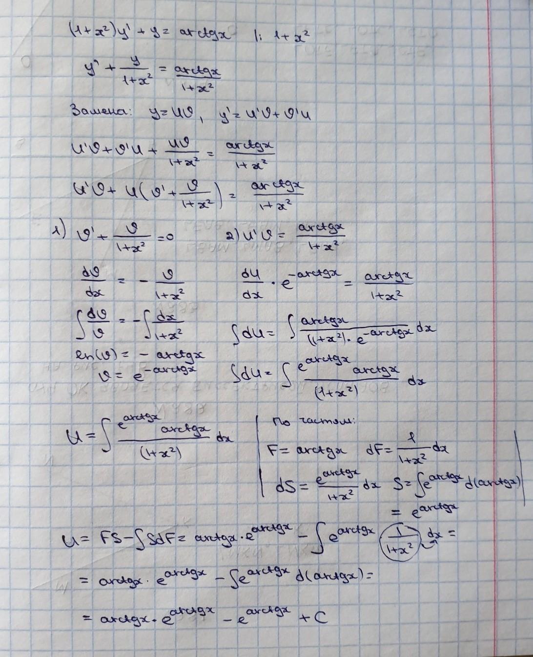
Ответ:

решение на фотографии

Приложения:
Вас заинтересует