• Предмет: Математика
  • Автор: sofyaglebowa
  • Вопрос задан 3 года назад

СРОЧНО Решите логарифм

Приложения:

Ответы

Ответ дал: MathDaddy
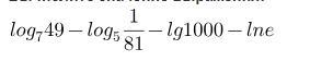
1

 log_{7}(49)  = 2 \\  log_{5}( \frac{1}{81} )  =    log_{5}( {81}^{ - 1} )  =  -  log_{5}(81) \\ lg(1000) = 3 \\ ln(e) = 1

*возможно, в задании опечатка, потому что 5 ни в одной (целой) степени не даст 81, а остальные логарифмы раскрываются красиво

2 +  log_{5}(81)  - 3 - 1 = \\  =   - 2 +  log_{5}(81)

Примечание: скорее всего, вместо 5 в основании логарифма должна стоять 3, тогда итоговый ответ будет 2.


sofyaglebowa: 7

2

8

1
sofyaglebowa: такие варианты
sofyaglebowa: это экз, не думаю, что опечатка
MathDaddy: могу предположить, что вместо 5 там должна была быть 3, тогда логарифм от 81 по основанию 3 будет равен 4 и в итоге ответ получится 2.
sofyaglebowa: ладно, разберусь спасибо)
MathDaddy: логарифм от 81 по основанию 5 не даст целого числа в любом случае, так что, думаю, это именно опечатка
MathDaddy: рад, что смог помочь. успехов
Вас заинтересует