• Предмет: Математика
  • Автор: mafia665fg
  • Вопрос задан 3 года назад

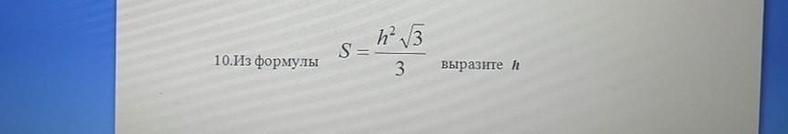
S=h^2√3/3
ПОМОГИТЕ ПОЖАЛУЙСТА, ОЧЕНЬ СРОЧНО ​

Приложения:

Ответы

Ответ дал: tarallini
1

Ответ:

S=h^2√3/3

3S=h^2√3

√3S=h^2

h=√(√3S)

Вас заинтересует