• Предмет: Математика
  • Автор: Winterier
  • Вопрос задан 3 года назад

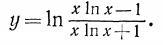
Высшая математика, требуется помощь!

Приложения:

Miroslava227: Что сделать с функцией? Производная?
Winterier: Да, производная

Ответы

Ответ дал: Miroslava227
1

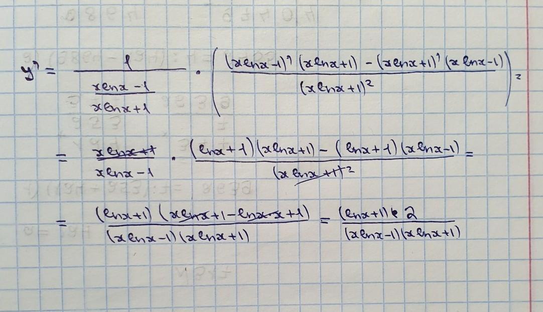
Ответ:

решение на фотографии

Приложения:
Вас заинтересует