• Предмет: Алгебра
  • Автор: lenaalekseichuk
  • Вопрос задан 3 года назад

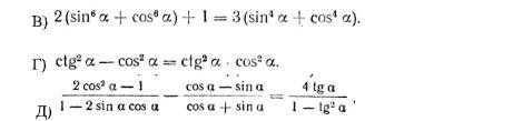
Доказать тригонометрическое тождество

Приложения:

Ответы

Ответ дал: NNNLLL54
0

1)\ \ 2(sin^6a+cos^2a)+1=2((sin^2a)^3+cos^2a)^3)+\underbrace {(sin^2a+cos^2a)^2}_{1^2=1}=\\\\\\=2(\underbrace {sin^2a+cos^2a}_{1})(sin^4a-sin^2a\cdot cos^2a+cos^4a)+\\\\+(sin^4a+2sin^2a\cdot cos^2a+cos^4a)=\\\\\\=2sin^4a-2sin^2a\cdot cos^2a+2cos^4a+sin^4a+2sin^2a\cdot cos^2a+cos^4a=\\\\\\=3sin^4a+3cos^4a=3\, (sin^4a+cos^4a)

2)\ \ ctg^4a-cos^2a=\dfrac{cos^2a}{sin^2a}-cos^2a=\dfrac{cos^2a-cos^2a\cdot sin^2a}{sin^2a}=\\\\\\=\dfrac{cos^2a\, (1-sin^2a)}{sin^2a}=\dfrac{cos^2a\cdot cos^2a}{sin^2a}=\dfrac{cos^2a}{sin^2a}\cdot cos^2a=ctg^2a\cdot cos^2a

3)\ \ \dfrac{2cos^2a-1}{1-2\, sina\cdot cosa}-\dfrac{cosa-sina}{cosa+sina}=\\\\\\=\dfrac{2cos^2a-(sin^2a+cos^2a)}{sin^2a+cos^2a-2\, sina\cdot cosa}-\dfrac{cosa-sina}{cosa+sina}=\\\\\\=\dfrac{cos^2a-sin^2a}{(sina-cosa)^2}-\dfrac{cosa-sina}{cosa+sina}=\dfrac{(cosa-sina)(cosa+sina)}{(cosa-sina)^2}-\dfrac{cosa-sina}{cosa+sina}=\\\\\\=\dfrac{cosa+sina}{cosa-sina}-\dfrac{cosa-sina}{cosa+sina}=\dfrac{(cosa+sina)^2-(cosa-sina)^2}{(cosa-sina)(cosa+sina)}=

=\dfrac{cos^2a+2sina\cdot cosa+sin^2a-cos^2a+2sina\cdot cosa-cos^2a}{cos^2a-sin^a}=\\\\\\=\dfrac{4sina\cdot cosa}{cos^2a-sin^2a}=\Big[\ \dfrac{:cos^2a}{:cos^2a}\ \Big]=\dfrac{4\cdot \frac{sina}{cosa}}{1-\frac{sin^2a}{cos^2a}}=\dfrac{4tga}{1-tg^2a}

Вас заинтересует