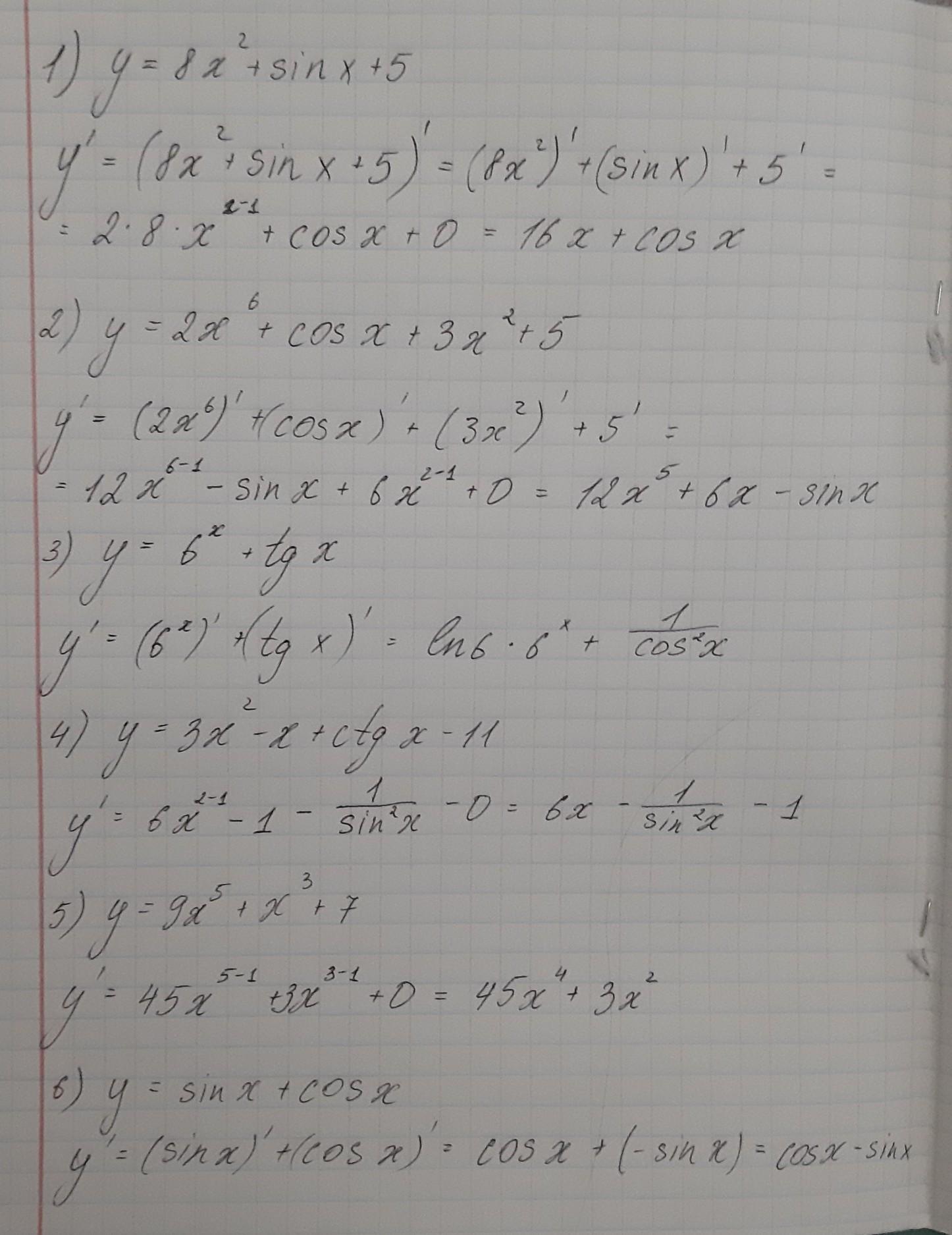
Найти производную функции. Пожалуйста, подробно, на листе. СРОЧНО. Уравнения:
1) y=8x² + sin x + 5
2) у= 2х⁶ + cos x + 3x² + 5
3) y= 6ˣ + tg x
4) y = 3x² - x + ctg x - 11
5) y = 9x⁵ + x³ + 7
6) y = sin x + cos x
Ответы
Ответ дал:
0
Объяснение:
Все значения табличные. Если будет что-то непонятно, пиши
Приложения:

Настенька9999999999:
Огромное спасибо!!!
Ответ дал:
0
Ответ: Производные представлены на фото
Приложения:

Вас заинтересует
2 года назад
2 года назад
7 лет назад
7 лет назад