• Предмет: Геометрия
  • Автор: TBV
  • Вопрос задан 3 года назад

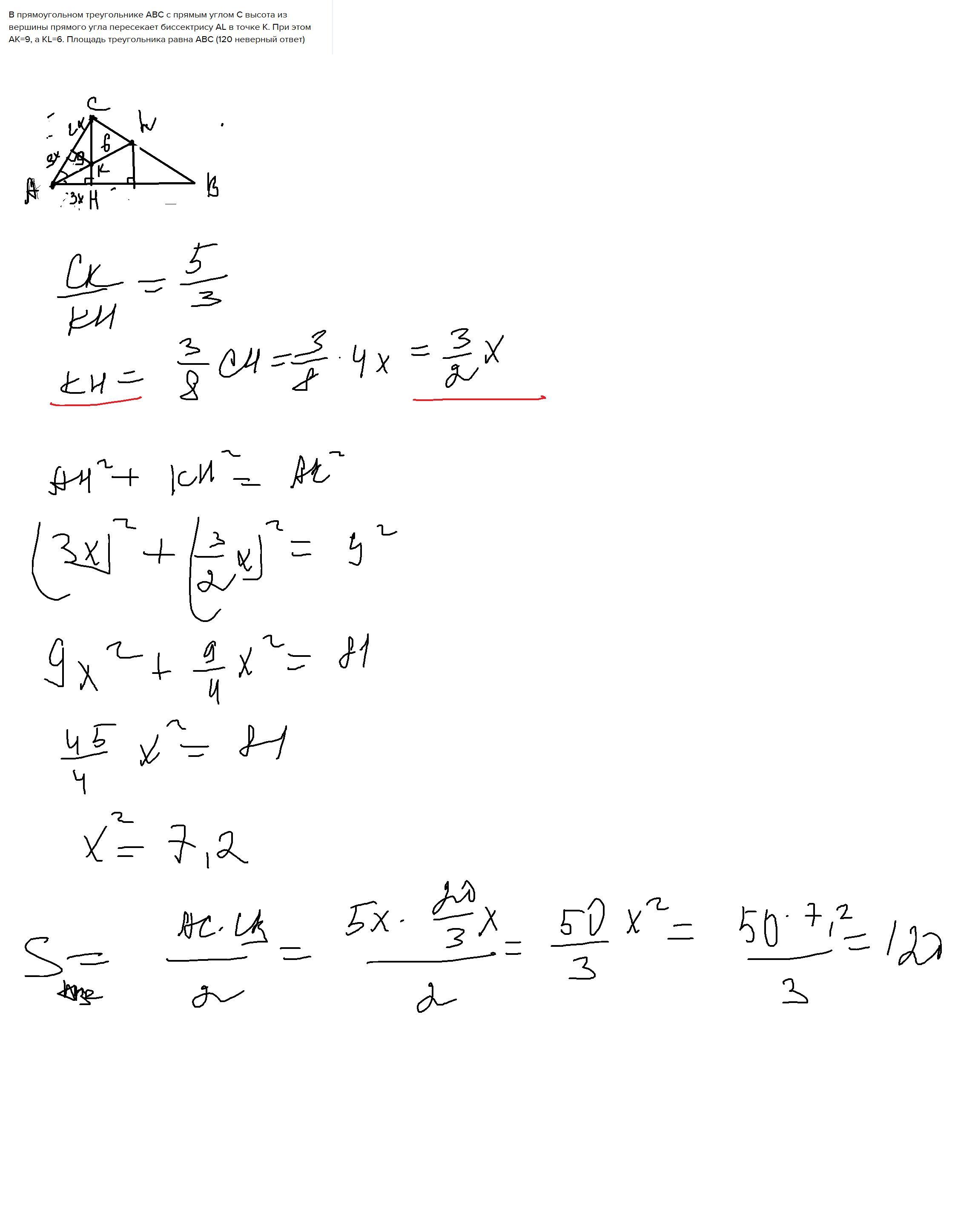
В прямоугольном треугольнике АВС с прямым углом С высота из вершины прямого угла пересекает биссектрису AL в точке К. При этом AK=9, а KL=6. Площадь треугольника равна АВС (120 неверный ответ)

Ответы

Ответ дал: vikll
1

Ответ:

Объяснение:В прямоугольном треугольнике АВС с

Приложения:

Simba2017: 120 не подходит пишут...
Simba2017: у меня тоже 120 вышло, я решала немного по другому, значит верный ответ
Вас заинтересует