• Предмет: Математика
  • Автор: aliyevasabina299
  • Вопрос задан 3 года назад

помогите пожалуйста. упр 14.​

Приложения:

Ответы

Ответ дал: Аноним
2

Ответ:

C) -3

Пошаговое объяснение:

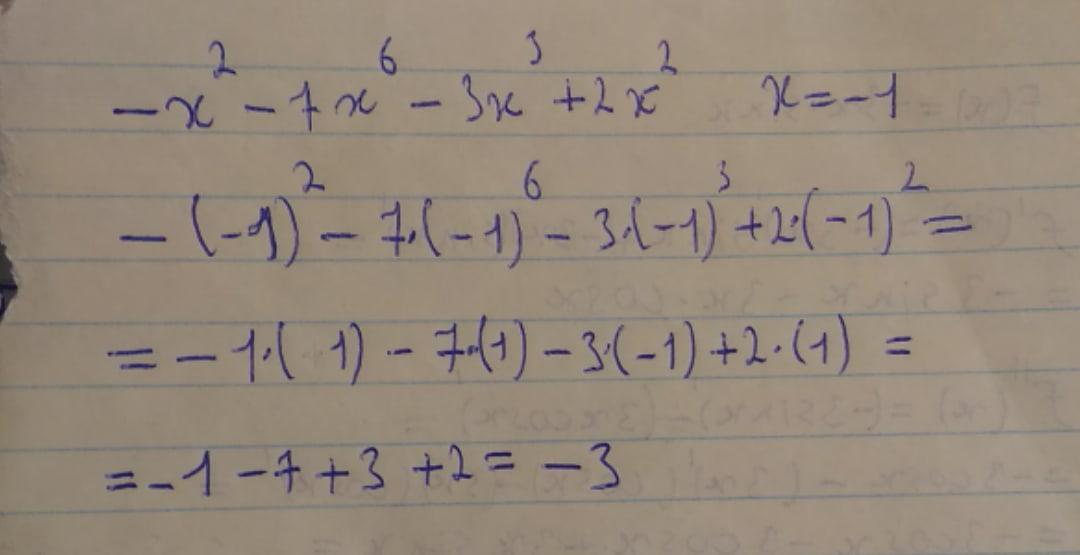
-x^{2} -7x^{6} -3x^{3} +2x^{2} =-(-1)^2-7(-1)^6-3(-1)^3+2(-1)^2=-1-7+3+2=-3

Ответ дал: dimauchenik654454
2

Ответ:

С) -3

Пошаговое объяснение:

Решение на фотографии. В этом задании нужно было просто подставить минус один и руководствоваться тем, что -1 в чётной степени будет +1, а -1 в нечётной степени, останется -1. Надеюсь ход моих рассуждений и решения ясны. Удачи :)

Приложения:
Вас заинтересует