• Предмет: Алгебра
  • Автор: okhrimovvovan
  • Вопрос задан 3 года назад

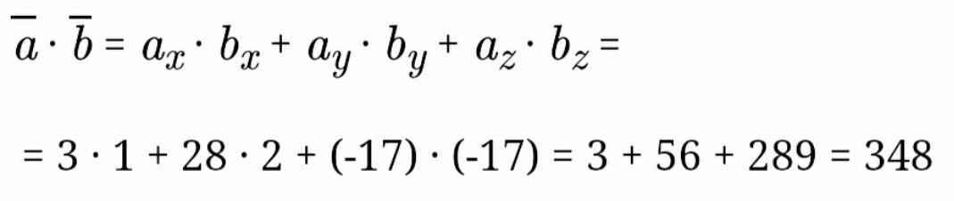
Найдите скалярное произведение векторов: a ⃗{0,3,28-17}иb ⃗{1,2,-17}

Ответы

Ответ дал: BroDuck
2

//////////////////////////

Приложения:

okhrimovvovan: Если что это стрелки, забыл сказать. Ну если нет разницы конечно
BroDuck: Стрелки = Вектор
Вас заинтересует