• Предмет: Математика
  • Автор: Krut6368
  • Вопрос задан 3 года назад

Даю 60 баллов!!Интегралы!!!СРОЧНО!60 баллов!

Приложения:

Ответы

Ответ дал: m11m
2

Ответ:

Пошаговое объяснение:

!!!!!!!!!!!!!!!!!!!!!!!!!

Приложения:

Krut6368: Спасибо большое)
Ответ дал: Аноним
1

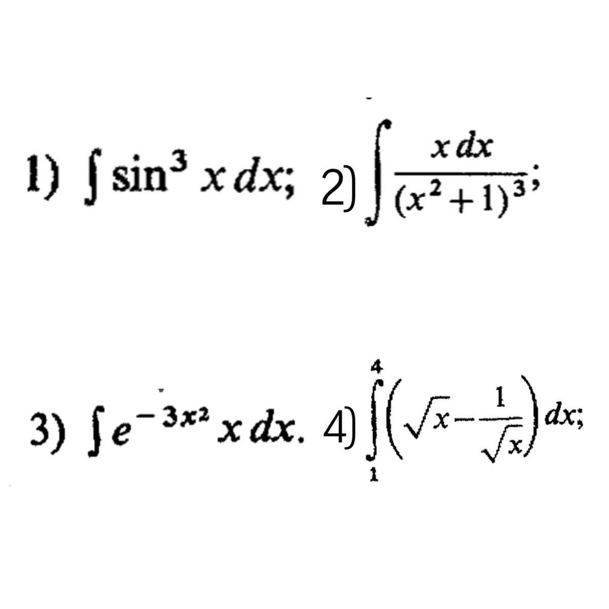
1) ∫sin³xdx=-∫sin³x(dcosx)=-∫(1-cos²x)(dcosx)=-cosx+((cos³x)/3)+c

2) ∫xdx/(x²+1)³=0.5d(x²+1)/(x²+1)³=0.5*(x²+1)⁻²/(-2)+c=-0.25/(x²+1)²+c

3) ∫e⁻³ˣ²xdx=-(1/6)∫e⁻³ˣ²d(-3x²)=-e⁻³ˣ²/6+c

4) Интеграл от (х¹/²-х⁻¹/²)dx равен (2/3)*х√х-2√x, подставим пределы интегрирования в формулу Ньютона - Лейбница, получим

(2/3)*4√4-2√4-((2/3)-2)=16/3-4-2/3+2=14/3-6/3=8/3=2 2/3

Вас заинтересует