• Предмет: Геометрия
  • Автор: dark806
  • Вопрос задан 3 года назад

СРОЧНО!!!Помогите решить пожалуйста!Я в математике ноль!

Приложения:

Ответы

Ответ дал: ИльяАнтонов2001
2

Ответ:

(-1, 12, -4)

Объяснение:

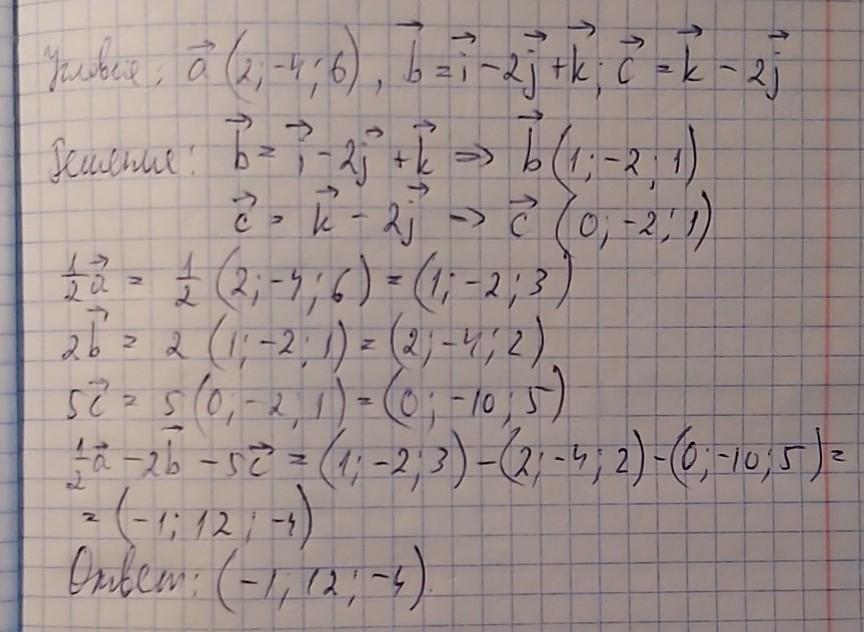
Из условия: а(2, -4, 6), b(1, -2, 1), c(0, -2, 1).

1/2 * a = (1, -2, 3)

2b = (2, -4, 2)

5c = (0, -10, 5)

1/2a - 2b - 5c = (1, -2, 3) - (2, -4, 2) - (0, -10, 5) = (-1, 12, -4)

Не забывай стрелки над векторами :)

Приложения:

dark806: А на счет первого задания?В плане зарисовки.
ИльяАнтонов2001: Первый номер прикрепил. Там в условии не сказано делать зарисовку)
dark806: Мир не без святый людей,Спасибо!
ИльяАнтонов2001: Второй тоже прикрепил. В нем очень важно рисовать все по клеточкам.
orjabinina: ИльяАнтонов2001, я поспешила. Поставьте на мой ответ нарушение-он неполный.Я сама не могу
ИльяАнтонов2001: Зато там чертеж хороший :)
ИльяАнтонов2001: Лучше оставить
orjabinina: Ну не вредничайте!
dark806: я вроде все отметил
orjabinina: +)
Вас заинтересует